
風冷空調機 單元式空調器 風冷立式空調器 LF8N
所屬分類:風冷冷風型空調機
產品簡介:用途:產品簡介及特點 1、簡介 杭井第三代單元式空調機是杭井公司在多年···
產品簡介及特點

1、簡介
杭井第三代單元式空調機是杭井公司在多年生產柜機的基礎上zui新升**的版本。機組外形采用流線型設計,外形**觀。具有制冷、制熱、除濕、加熱等功能,可實現對室內環境溫度的精確控制。廣泛適用于各種寫字樓、賓館,展覽館等場合。

2、產品特點
◆ 規格眾多
本系列設有3HP~100HP共19個規格。有風冷、水冷兩種冷卻方式,滿足客戶不同使用環境的需求。
◆ 設計靈活
有多種送回風方式,便于匹配組合。有新風引入功能,能夠有效改善空氣品質。適用于多種工程環境。
◆ 結構緊湊
機組結構緊湊、外型小巧,所有維護、保養均可**面進行,便于安裝、維護和調試。
◆ 品**配件
主要制冷系統配件采用知**品**產品,如高性能進口壓縮機,低噪音高效率離心式風機等,節能、性能可靠。
◆ 高效節能
殼管式冷凝器采用我司**利產品――高效換熱管,大大提高機組換熱效率。
◆ 多重保護
機組設有多重安全保護,如高低壓力、壓縮機過流、過載等,確保機組安全可靠。
◆ 特殊處理
根據使用場合的具體要求,機組可做防爆防腐處理。可廣泛用于石油、化工、冶金、軍工、醫藥等行業存在或可能存在ⅡA、ⅡB**,T1~T4組可燃性氣體、蒸氣與空氣混合形成的爆炸性氣體混合物的1~2區場合。

3、執行標準
本產品執行**家標準:
① GB/T 17758-1999 《單元式空氣調節機》。
② GB 19576-2004《單元式空氣調節機能效限定值及能源效率等**》
二、產品匯總表
**、杭井單元式空調機匯總表

三 風冷冷風電加熱型空調機LFD8N**義工況
**義工況

四 運行范圍
制冷時,室內zui高進風溫度32℃,zui低進風溫度18℃。
室外zui高進風溫度43℃,zui低進風溫度18℃。
制熱時,室內zui高進風溫度27℃。
室外zui高進風溫度21℃,zui低進風溫度-7℃。
水冷機zui高進水溫度34℃,zui低進水溫度20℃,承受zui高水壓0.4Mpa。
◆機組長時間在**出上述范圍運行,會導致損壞,如客戶確有需要,請在訂貨時說明。
五 產品型號表示方法

六、送回風方式

七、性能參數表
附錄1 L系列水冷冷風型空調機、LD系列水冷冷風電加熱型空調機、LF系列風冷冷冷風型空調機、 LFD系列風冷冷風電加熱型空調機(R22)


附錄2 RF系列風冷熱泵型空調機 (R22)


附錄3 LH系列水冷冷風型空調機、LDH系列水冷冷風電加熱型空調機(R407C) LFH系列風冷冷冷風型空調機、LFDH系列風冷冷風電加熱型空調機(R407C)


附錄4 RF系列風冷熱泵型空調機 (R407C)


附錄5 室外機

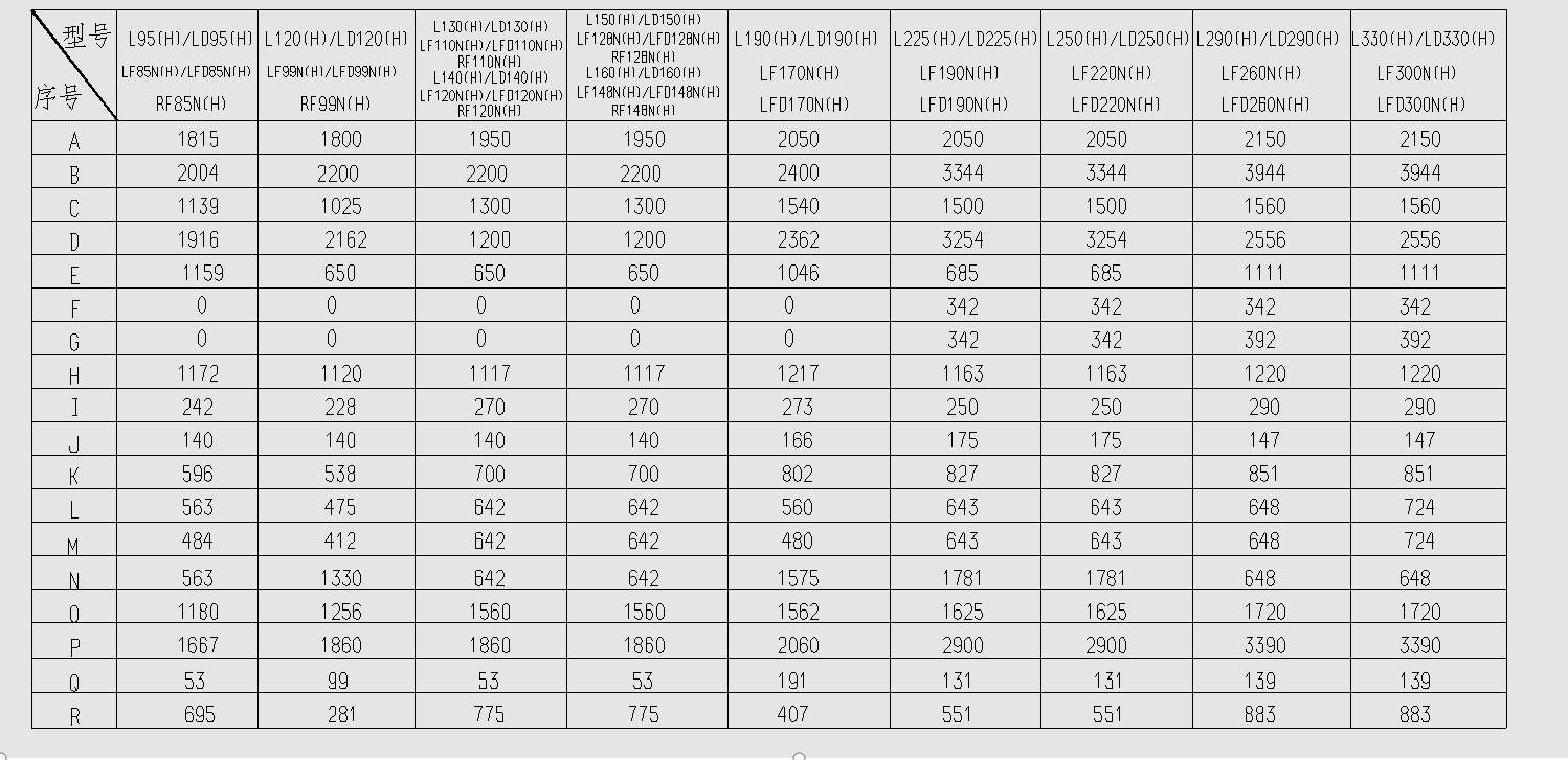
八、外形及空間安裝尺寸

八、外形及空間安裝尺寸






九 安裝注意事項
1、機組基礎可為混凝土或槽鋼基礎,**般應高于樓面50~100mm。基礎應能承受機組工作時的重量且水平固定。為防止機組振動,可根據機組重量選用隔振墊或隔振器。制作機組基礎時,基礎需比機組外形尺寸單邊大150mm,定位尺寸請參考外形圖中基礎安裝孔尺寸。
2、機組安裝時,應預留維修空間、水管接管、冷媒接管或風管安裝空間。

3、水冷機進出水管應按機組標示安裝,進出水管在機組連接處應設有防振軟管。進水管應安裝水過濾器,以防止異物進入或換熱器結垢,降低換熱效果。
4、室外機應安裝于通風良好空間,吹出或吸入空氣不受阻礙的地方,避**安裝在附近有熱源、污染或易燃易爆的場所。
☆詳細的機組安裝使用說明請見我公司提供的安裝使用說明書。
1、樣本中技術參數中的制冷量、風量、機外靜壓、加熱量等數據如不能滿足客戶要求,請與我公司聯系確認,認可后請在訂貨技術協議書中注明。
2、壓縮機標準配置R22為知**品**渦旋壓縮機,如客戶有其它需求,請與我公司聯系確認,認可后請在訂貨技術協議書中注明。
3、機組加熱器標準配置為電加熱形式。本公司可為客戶提供其它電加熱量或加熱形式(如熱水加熱、蒸汽加熱)的機組,請與我公司聯系確認,認可后請在訂貨技術協議書中注明。
4、控制器標準配置為:36HP(含36HP)以下機組采用主令開關,操作簡易;其它采用可編程控制器及可視文本操作器,操作智能化。如客戶有其它需求,請與我公司聯系確認,認可后請在訂貨技術協議書中注明。
5、本樣本提供的技術參數值均為**義工況下的數據,僅供參考,建議使用時根據實際工況進行修**,請參考附錄。
6、機組制冷劑標準配置為R22、R407C。如需用R134a,對應的性能參數請咨詢本公司,確認后請在訂貨技術協議書中注明。
7、標準配置機組30HP(含30HP)以上配高、低壓壓力表,如有其它需求,請與我公司聯系確認,認可后請在訂貨技術協議書中注明。
8、機組過濾器濾料標準配置為可清洗雙層尼龍網,如需其它過濾器請在訂貨時注明。
9、若配管管長(單程)**過30m,需作為非標設計,請**與我公司聯系確認,認可后請在訂貨技術協議書中注明。
10、若機組需做防爆處理,請與我公司聯系確認,認可后請在訂貨技術協議書中注明。
11、機組出廠時自帶制冷劑,風冷型機組制冷劑充注于室外機。
12、所有機組外部的管道部件不包括在機組的供貨范圍,由用戶自行籌備。如客戶有其它特殊要求,訂貨前請簽訂技術協議書。
十**、附錄


2)各種修**系數表



3)風冷空調機不同安裝條件下制冷量等修**系數表
a.室內外機連接管長及室內外機安裝高度對制冷量有影響。制冷量的修**系數參見下表。









